在现代生活中,PET材质无处不在。从饮料瓶到食品包装,再到纺织纤维,它已成为一种不可或缺的材料。PET,全称为聚对苯二甲酸乙二醇酯(Polyethylene Terephthalate),是一种热塑性聚酯塑料,以其卓越的性能和广泛的应用而闻名。根据相关研究,全球PET产量已超过8000万吨/年,主要用于包装行业。本文将从PET的化学结构、生产过程、性质、应用、优缺点以及环保影响等方面进行深度科普,帮助读者全面了解这一材料。
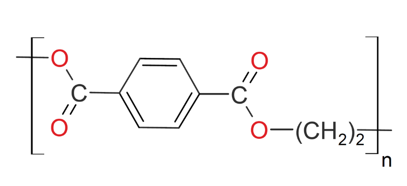
PET的化学结构
PET是一种由碳、氢、氧元素组成的聚合物,其分子式为(C10H8O4)n。它是通过对苯二甲酸(PTA)和乙二醇(EG)在高温下进行缩聚反应形成的。分子链中包含酯键(-COO-),这赋予了PET良好的稳定性和机械性能。PET的重复单元结构如下:苯环与乙二醇链段交替连接,形成半结晶结构。
PET的化学结构图示:

这种结构使得PET在室温下呈无定形状态,但通过拉伸或加热可形成晶体,提高强度。相比其他塑料,如聚乙烯(PE),PET的苯环结构增强了其刚性和耐热性。
PET的生产过程
PET的生产主要分为两个阶段:酯交换或直接酯化,然后是缩聚。
- 原料准备:主要原料是对苯二甲酸二甲酯(DMT)或纯对苯二甲酸(PTA)与乙二醇(EG)。PTA法更常见,因为它更环保且效率高。
- 酯化反应:在200-220°C下,PTA和EG反应生成双羟乙基对苯二甲酸酯(BHET)和水。
- 缩聚反应:在真空条件下,温度升至260-280°C,使用锑或钛催化剂,将BHET聚合成长链PET,同时去除副产物乙二醇。
- 成型加工:聚合后的PET颗粒可通过注塑、吹塑或挤出成型制成瓶子、薄膜等产品。
整个过程需严格控制温度和压力,以避免副反应。现代生产强调连续化工艺,减少能耗。

PET的物理和化学性质
PET具有多种优异性质,使其在工业中脱颖而出:
- 机械性能:抗冲击强度高,是其他薄膜的3-5倍,耐折性好。拉伸强度可达50-70 MPa。
- 热性能:玻璃化转变温度约80°C,熔点250-265°C,耐热性强,可用于微波加热。
- 化学稳定性:耐油、耐酸碱、耐大多数溶剂,但不耐强碱和高温水解。
- 光学性能:透明度高,光透过率达90%以上。
- 阻隔性:对氧气和二氧化碳有良好阻隔,适合食品包装。
这些性质源于其分子链的刚性和氢键作用。然而,PET易吸湿,需要干燥处理以防加工时降解。
PET的主要应用
PET的应用极其广泛,主要分为包装、纺织和工程塑料三大领域。

- 包装领域:占PET总消费的70%以上,用于饮料瓶、食品容器和薄膜包装。因其轻便、耐破裂和透明,常用于碳酸饮料瓶。全球每年生产超过500亿个PET瓶。
- 纺织领域:以“涤纶”形式用于服装、地毯和非织造布,占30%。PET纤维强度高、耐皱,全球纺织纤维中占比超过50%。
- 其他应用:电子元件、医疗器械、3D打印耗材和太阳能电池基材。在3D打印中,PET兼具透明性和耐化学性。
PET的优缺点分析
优点:
- 轻便耐用:重量仅为玻璃的1/10,却更抗冲击。
- 成本低:生产原料丰富,加工效率高。
- 安全环保:FDA批准用于食品接触,不含BPA。
- 可回收:回收率高,可无限循环使用。
缺点:
- 热敏感:高温下易水解,影响强度。
- 环境持久性:自然降解需数百年,易造成微塑料污染。
- 加工复杂:需精确控制湿度,否则易脆化。
- 透气性:对某些气体阻隔不足,需复合使用。
总体而言,PET的优点远超缺点,但需优化使用以减少负面影响。
PET的环保影响
PET的生产依赖石油衍生品,过程排放温室气体,每吨PET产生约3吨CO2。废弃PET是塑料污染的主要来源,海洋中PET碎片威胁生态。
然而,PET是可回收塑料的典范。回收过程包括收集、清洗、熔融再造,可制成rPET(再生PET),用于新瓶子或纤维。瓶到瓶回收可减少能源消耗75%。生物基PET(如植物来源EG)正兴起,进一步降低碳足迹。
PET回收过程示意图:

全球回收率约30%,欧盟目标到2030年达90%。中国作为PET大国,推动“禁塑令”和回收体系建设。
未来趋势与建议
随着可持续发展理念的深化,PET正向绿色转型。研究焦点包括酶降解PET(如Ideonella sakaiensis细菌)和化学回收技术。建议消费者选择rPET产品,支持回收;企业采用生物PET,减少一次性使用。
总之,PET作为一种高效材料,推动了现代便利生活,但其可持续性取决于我们的行动。通过科普,我们能更好地平衡其益处与挑战。


